Réponse en fréquence d’un amplificateur à émetteur commun
L’objectif de cet exercice est d’étudier la réponse en fréquence d’un circuit amplificateur à émetteur commun utilisant un BJT (transistor à jonction bipolaire) NPN.
Topologie d’amplificateur à émetteur commun
Le schéma d’un amplificateur à émetteur commun typique est illustré en Figure 1. Les condensateurs CB et CC servent à bloquer la polarisation DC de l’amplificateur en entrée et en sortie (couplage AC). Le condensateur CE est un condensateur de dérivation AC qui sert à créer une masse AC aux basses fréquences au niveau de l’émetteur de Q1. Le condensateur Miller CF est une petite capacité qui sert à contrôler la réponse à 3 dB de l’amplificateur aux fréquences élevées.

Réponse à basse fréquence
La Figure 2 montre le circuit équivalent de l’amplificateur pour de petits signaux basse fréquence. Notez que CF est ignoré, puisque l’on suppose que son impédance est très élevée à ces fréquences. RB est équivalent à RB1 et RB2 en parallèle.

Grâce à l’analyse de la constante de temps en court-circuit, on trouve que la pulsation basse à 3 dB (?L) est égale à :

Où



Réponse à haute fréquence
La Figure 3 montre le circuit équivalent de l’amplificateur pour un petit signal haute fréquence. Aux fréquences élevées, CB, CC et CE peuvent être assimilés à des courts-circuits car leur impédance devient très faible par rapport à RS, RL et RE.

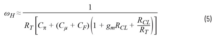
La pulsation haute à 3 dB (?H) est donnée par :

Où


Ainsi, si l’on suppose que l’amplificateur à émetteur commun est bien caractérisé par ses pôles dominants de pulsation haute et basse, alors on peut estimer sa réponse en fréquence par :

Où :
s est la pulsation complexe
AV est le gain à mi-bande
?L est la pulsation de coupure basse
?H est la pulsation de coupure haute
Travail pré-labo
En supposant que CB = CC = CE = 1 farad et que CF = C? = Cµ = 0, et en utilisant un transistor 2N3904, concevoir un amplificateur à émetteur commun avec les caractéristiques suivantes :
VCC = 5 V
RS = 50 ?
RL = 1 k?
RIN >250 ?
ISUPPLY <8 mA
AV >50
Excursion crête-crête en sortie (non écrêtée) >3 V
• Montrez tous vos calculs, la procédure de conception, et les valeurs finales des composants.
• Vérifiez vos résultats à l’aide du simulateur de circuit LTspice®. Soumettez toutes les courbes de simulation nécessaires montrant que les spécifications sont satisfaites. Fournissez également le schéma du circuit avec les points de polarisation DC indiqués.
• En utilisant LTspice, trouvez la fréquence haute à 3 dB (fH) quand CF = 0.
• Déterminez C?, Cµ, et rb du transistor à partir des données du point de fonctionnement simulé. Calculez fH en utilisant l’équation de la section Réponse à haute fréquence et comparez-la avec le résultat de la simulation obtenu en Etape 3. N’oubliez pas que l’équation vous donne la pulsation (en radians par seconde) et que vous devez la convertir en Hz.
• Calculez la valeur de CF pour obtenir fH = 5 kHz. Simulez le circuit pour vérifier votre résultat et ajustez la valeur de CF si nécessaire.
• Calculez les valeurs de CB, CC et CE pour obtenir fL = 500 Hz. Simulez le circuit pour vérifier vos résultats et ajustez les valeurs des condensateurs si nécessaire.
Procédure de labo
Objectif :
L’objectif de cette section de l’activité labo est de valider vos valeurs de conception pré-labo en construisant le circuit réel et en mesurant sa réponse en fréquence.
Matériel :
• Module d’apprentissage actif ADALM2000
• Breadboard sans soudure
• Six résistances, de valeurs différentes, provenant du kit de composants analogiques ADALP2000
• Quatre condensateurs, de valeurs différentes, provenant du kit de composants analogiques ADALP2000
• Un transistor NPN petits signaux (2N3904)

Acheter ADALP2000 d’Analog Devices sur Amazon
Notez ce qui suit sur la résistance de source, RS, et la sortie AWG (générateur de signaux) de l’ADALM2000 : la sortie AWG possède une résistance de sortie 50 ? en série, qu’il faudra prendre en compte avec la résistance externe, en série avec la sortie de l’AWG. De plus, compte tenu du gain relativement élevé du circuit, vous aurez besoin d’un signal d’entrée de faible amplitude, autour de 100 mV crête-crête. Plutôt que de refuser l’AWG dans le logiciel, il vaut mieux, d’un point de vue bruit, insérer un pont diviseur de tension entre la sortie AWG et l’entrée de votre circuit, afin d’atténuer le signal. Une configuration comme celle de la Figure 4 permet d’obtenir une atténuation de 1 pour 16 et une résistance de source équivalente de 60 ?. D’autres combinaisons de valeurs de résistance sont possibles en fonction de ce dont vous disposez. Dans notre cas, nous utiliserons une valeur standard de 68 ?.

Configuration du matériel

Construisez le circuit sur votre breadboard.

Instructions
• Construisez l’amplificateur, en vous basant sur le schéma de la Figure 1, que vous avez conçu dans la phase pré-labo. En vous basant sur les valeurs théoriques pré-labo, utilisez la valeur standard la plus proche disponible dans votre kit. N’oubliez pas que vous pouvez combiner plusieurs valeurs standard, en série ou en parallèle, pour obtenir une valeur combinée plus proche de votre valeur théorique idéale.
• Vérifiez votre point de fonctionnement DC en mesurant IC, VE, VC et VB. Si une valeur de polarisation DC est sensiblement différente de celle obtenue par simulation, modifiez votre circuit pour obtenir la polarisation DC souhaitée, avant de passer à l’étape suivante.
• Mesurez ISUPPLY.
• Utilisez l’analyseur de circuit du logiciel Scopy pour obtenir l’amplitude de la réponse en fréquence de l’amplificateur entre 50 Hz et 20 kHz, et déterminez les fréquences à 3 dB, basse (fL) et haute (fH).
• Aux fréquences intermédiaires, mesurez AV, RIN et ROUT.
Des exemples de tracés sont fournis correspondant aux simulations LTspice du circuit de la Figure 5.

Question :
• Remplacer le condensateur CF par une valeur plus faible (0,01 µF) et re-mesurez la courbe de réponse à l’aide de l’analyseur de circuit ou de la simulation de balayage AC. Expliquez l’influence de la nouvelle valeur de condensateur dans la réponse que vous observez.
Vous trouverez la réponse dans le blog de la StudentZone. (https://ez.analog.com/studentzone)
Doug Mercer, Consultant
et Antoniu Miclaus, Ingénieur Applications Système
Source : com-trail.fr